SCR-конвертер 24UB 3LEGACY OPTICUM Unicable

Товар

5 971  ₽
SCR-конвертер 24UB 3LEGACY OPTICUM Unicable
  • 1 раз купили
  • 4.94  оценка
  • 99992 осталось
  • 381 отзыв

Доставка

  • Почта России

    от 990 ₽

  • Курьерская доставка EMS

    от 1290 ₽

Характеристики

Артикул
12579091930
Состояние
Новый
Model
SCR 24UB

Parametry dodatkowe

Wzmocnienie
60dB

Описание

KONWERTER SCR 24UB 3LEGACY OPTICUM RED ROBUST

✅ Obsługuje wszystkie dostępne w kraju platformy telewizji cyfrowej np. Polsat Box, Canal+, Orange TV

Konwerter prezentowany na tej aukcji jest urządzeniem klasy PREMIUM

NAJWYŻSZA JAKOŚĆ OBRAZU

Idealnie nadaje się do odbioru telewizji cyfrowej wysokiej rozdzielczości HD, FULL HD, 4K

KONWERTER SCR 24UB 3LEGACY OPTICUM Unicable EAN (GTIN) 5908266361338
KONWERTER SCR 24UB 3LEGACY OPTICUM Unicable

✅ SPECYFIKACJA TECHNICZNA:

  • Pasmo wejściowe: 10,70-11,70 GHz/11,70- 12,75 GHz
  • Pasmo wyjściowe: 950-1950 MHz/1100-2150 MHz
  • Górne pasmo wejściowe; 11,7-12,75 GHz
  • Oscylator górny: 10,4/9,75/10,6 GHz
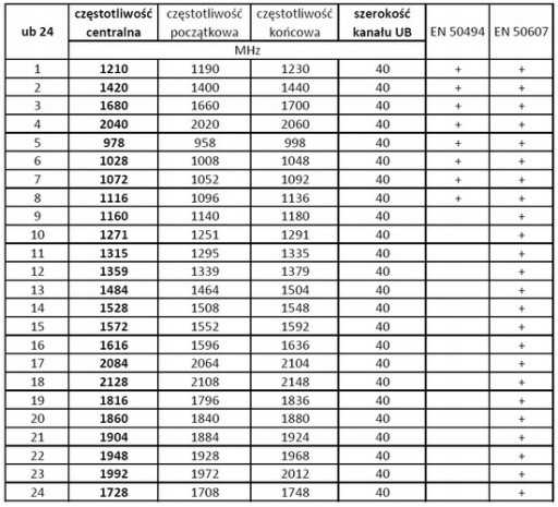
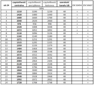
  • Wyjścia kanałów SCR: 24
  • Wyjścia sygnałów Full Band: 3
  • Wzmocnienie: pow. 57 dB
  • Ilość wyjść full band: 2
  • Współczynnik szumów: 0,1 dB
  • Pobór prądu: 300 mA
  • Średnica uchwytu: 40 mm
  • Full HD 1080
  • 4K Ultra HD
  • Temperatura pracy: od -40° do 65°C

Konwerter SCR (unicable)

przeznaczony do odbioru programów telewizji satelitarnej.

Jedno wyjście konwertera SCR

i jeden kabel dostarcza sygnał dla 24 odbiorników cyfrowych.

Odbiorniki pracują w pełni niezależnie.

Warunkiem jest posiadanie przez tunery funkcji UNICABLE.

KONWERTER SCR 24UB 3LEGACY OPTICUM Unicable Kod producenta SCR 24UB
KONWERTER SCR 24UB 3LEGACY OPTICUM Unicable Model SCR 24UB

Jedno wyjście konwertera UNICABLE (SCR) w kolorze złotym

pozwala na poprowadzenie sygnału jednym kablem do max. 24 odbiorników cyfrowych z sygnałem SCR lub UNICABLE.

Trzy wyjścia konwertera full band w kolorze srebrnym

pozwalają na podłączenie trzech tradycyjnych odbiorników cyfrowych.

Alt
KONWERTER SCR 24UB 3LEGACY OPTICUM Unicable Marka Opticum

Produkt ten polecany jest do stosowania w instalacjach SAT

idealnie nadaje się do odbioru sygnału z satelit:

Astra, Hotbird, Amos, Eutelsat itp.

KONWERTER SCR 24UB 3LEGACY OPTICUM Unicable Typ unicable

Standardowa średnica montażowa konwertera (4 cm) sprawia, że można zamontować do każdej czaszy antenowej.

KONWERTER SCR 24UB 3LEGACY OPTICUM Unicable Kod producenta SCR 24UB

Wysokiej jakości

konwerter satelitarny przystosowany do odbioru programów satelitarnych. Konwerter idealnie nadaje się do odbioru telewizji wysokiej rozdzielczości w jakości HD. Urządzenie doskonale współpracuje ze wszystkimi dostępnymi na rynku tunerami.

Dodatkowo konwerter obsługuje technologię Full HD co oznacza że jeżeli dostawca usług telewizyjnych dostarcza kanały w technologii  Full HD za pomocą tego konwertera będziemy mogli je odebrać. Warunkiem koniecznym jest posiadanie odpowiedniego telewizora do odbioru tych technologii.

KONWERTER SCR 24UB 3LEGACY OPTICUM Unicable

Гарантии

  • Гарантии

    Мы работаем по договору оферты и предоставляем все необходимые документы.

  • Лёгкий возврат

    Если товар не подошёл или не соответсвует описанию, мы поможем вернуть его.

  • Безопасная оплата

    Банковской картой, электронными деньгами, наличными в офисе или на расчётный счёт.

Отзывы о товаре

Рейтинг товара 4.94 / 5

381 отзыв

Russian English Polish